Metodologi W/O menggunakan alat yg disebut dengan diagram W/O, yg secara lintas mirip dengan bagan berjenjang yg diputar.

STRUKTUR DATA MENGGUNAKAN DIAGRAM W/O
Prinsip kunci dari metodologi W/O adalah desain dari struktur program yg tertulis dilengkapi dengan struktur datanya. Diagram W/O dapat menggambarkan struktur data yg berbentuk :
- . Struktur Data Urut
- Struktur Data Repetisi
- Struktur Data Seleksi
- . STRUKTUR DATA URUT

Maka Dapat Digambarkan dengan diagram W/O

- STRUKTUR DATA REPETISI
Misalnya file mahasiswa terdiri dari n record. Maka dapat digambarkan dengan dengan diagram W/O:

- STRUKTUR DATA SELEKSI
Dapat ditunjukkan oleh operator XOR sbb

STRUKTUR PROSES PROGRAM MENGUNAKAN DIAGRAM W/O
- STRUKTUR PROSES URUT
Struktur Proses Urut adalah masing-masing instruksi diproses urut satu dengan yang lainnya.

- STRUKTUR PROSES REPETISI
Struktur Proses Repetisi adalah struktur proses yg mengulang instruksi program berulang kali.

- STRUKTUR PROSES SELEKSI
Struktur Proses Seleksi merupakan struktur proses yang menggunakan instruksi penyeleksian kondisi

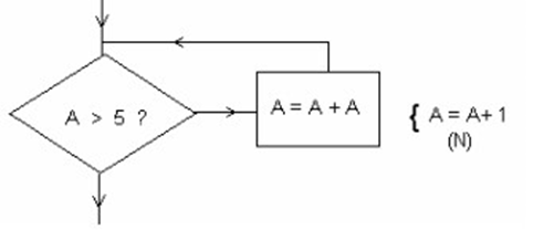
- STRUKTUR PROSES REKURSI
Struktur Proses Rekursi adalah suatu proses dari suatu fungsi atau prosedur yangmemanggil dirinya sendiri. Digambarkan dengan kurung kurawal (brace) yang terputus-putus.

KETERANGAN SIMBOL PADA DIAGRAM W/O DIATAS
- Simbol Angka diantara tanda kurung menunjukkan banyaknya proses
- Untuk Urut maka instruksi biasanya dikerjakan 1 kali sehingga dituliskan (1).
- Untuk Repetisi maka instruksi bisa dikerjakan sebanyak N kali maka dituliskan (N).
- Untuk Seleksi disimbolkan dengan (0,1) yaitu suatu instruksi akan diproses 1 kali (1), atau tidak diproses (0).
- Untuk rekursi biasnya disimbolkan dengan (1,N) , N untuk repetisinya.